Los percentiles del crecimiento fetal son una herramienta para entender cómo se desarrolla el bebé a lo largo del embarazo. Esta guía ofrece un análisis detallado de los percentiles fetales y la importancia de su seguimiento del embarazo. No se puede calcular exactamente el peso de un feto, pero se calcula de forma estimada a partir de algunas medidas.
¿Qué son los percentiles del crecimiento fetal?
Los percentiles son valores que nos permiten comparar el crecimiento de nuestro feto con una referencia estándar basada en la edad gestacional y el sexo del bebé. Es cierto que no es tan sencillo saber el peso del feto cuando está en la tripa, pero las ecografías proporcionan una estimación que sirve como referencia.
Definición y propósito de los percentiles fetales
Los percentiles fetales son un concepto estadístico que indica cómo de grande es el feto en comparación con una población de referencia. Se utiliza un rango de 0 a 100. Por ejemplo, si un feto está en el percentil 80, significa que el 80% de los fetos de la misma edad gestacional pesan menos que él y que el 20% pesan más. El propósito de estos percentiles es que se pueda hacer una evaluación objetiva del crecimiento del feto para detectar posibles anomalías.
Importancia de los percentiles en el desarrollo del bebé
Los percentiles ayudan a identificar fetos que pueden estar creciendo demasiado rápido o demasiado lento. Un feto por debajo del percentil 10 puede indicar un crecimiento intrauterino restringido, mientras que uno por encima del percentil 97 podría sugerir macrosomía. Estos valores permiten tomar decisiones informadas.
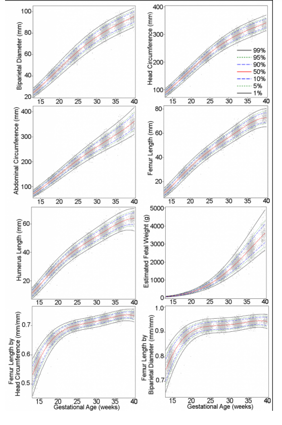
Métodos de estimación del peso fetal durante ecografías
Se toman diferentes medidas que se utilizan para conocer el tamaño del feto y, añadiendo el factor tiempo, la tasa de crecimiento por semana de gestación.
Medidas clave: AC, BDP, HC, HL, FL/FE/F, ODP
Durante las ecografías, realizamos determinación de varias medidas del bebé. Son las siguientes:
- AC (circunferencia abdominal)
- BDP (diámetro biparietal)
- HC (circunferencia craneal)
- HL (longitud del húmero)
- FL/FE/F (longitud femoral)
- ODP (diámetro occipito-frontal)
Cada una de estas medidas proporciona información sobre diferentes aspectos del tamaño y la forma del feto, lo que permite evaluar su crecimiento.
Cómo se utilizan estas medidas para calcular el peso fetal
Las medidas obtenidas durante las ecografías se introducen en fórmulas predeterminadas para estimar el peso fetal. Se consideran factores como la edad gestacional y las dimensiones del feto para ofrecer finalmente una estimación del peso. Y por supuesto: son estimaciones, por tanto no son exactas, pero son una herramienta valiosa para evaluar si el feto está creciendo adecuadamente.
Interpretación de los percentiles del crecimiento fetal
Las interpretaciones las realizará siempre el profesional sanitario que esté realizando el seguimiento del embarazo, pero no está de más conocer estos datos para tener toda la información sobre el embarazo y estar más tranquilas.
Tablas de percentiles elaboradas por la OMS
La Organización Mundial de la Salud confeccionó tablas de consulta que permiten ver cuál es la tendencia del crecimiento fetal durante el embarazo semana a semana.
Estas tablas muestran cómo debería crecer un feto típico semana a semana, permitiendo a los médicos evaluar si un feto está creciendo dentro de los rangos normales. Las tablas incluyen percentiles desde el 3 hasta el 97, para tener un marco amplio en la evaluación del crecimiento.
Percentil 50: valor promedio y referencia
El percentil 50 es considerado el valor promedio y representa el peso ideal que debería tener un feto en una determinada semana de gestación, aunque muchos otros percentiles también indican normalidad. La mayoría de fetos se encuentran cerca de este percentil. El percentil 50 significa que el feto está creciendo de manera adecuada en comparación con la población de referencia.
Valores normales: percentiles entre 10 y 90
Pero lo que decíamos: los percentiles entre 10 y 90 se consideran normales. Así que un feto dentro de este rango está creciendo de manera saludable, no tiene por qué ser el percentil 50 para que esté bien. Una de las cosas importantes es monitorear la tendencia de crecimiento a lo largo del tiempo, porque los cambios significativos también pueden indicar problemas que requieran de atención médica.

Significado de estar por debajo o por encima del rango normal
Estar por debajo del percentil 10 puede indicar que el feto es pequeño para su edad gestacional, lo que podría ser un signo de crecimiento intrauterino restringido. En el otro lado, un feto por encima del percentil 97 puede ser grande según lo esperado, lo que podría estar relacionado con la diabetes gestacional.
Seguimiento del crecimiento fetal por semana
En el embarazo existen controles importantes en los cuales se ven, entre otras cosas, estos valores. Existen distintas tablas para fetos femeninos y masculinos.
Tabla de peso fetal femenino por semana de embarazo
El seguimiento del peso del feto se utiliza para evaluar el desarrollo del bebé. Las tablas de percentiles específicas para fetos femeninos ayudan a identificar si el crecimiento es adecuado, y muestran el rango esperado de peso en cada semana de gestación. Aquí puedes ver dicha tabla:

Tabla de peso fetal masculino por semana de embarazo
De manera similar, se utilizan tablas de percentiles específicas para fetos masculinos. Estas tablas consideran las diferencias biológicas en el crecimiento entre fetos masculinos y femeninos para saber si están creciendo de acuerdo con las expectativas.

Circunferencia del abdomen por semana
La circunferencia del abdomen es otra medida que complementa el seguimiento de los percentiles del crecimiento fetal. Se compara con las tablas de percentiles para determinar si el feto está creciendo bien, igual que el resto de tablas.

Factores que influyen en el crecimiento fetal
No solo es importante determinar el punto donde se incluye el peso del feto, sino que también hay que evaluar la tendencia durante todo el embarazo y seguir la tasa de crecimiento en la figura. Hay diferentes factores que influyen en el crecimiento fetal:
Impacto de la genética y factores maternos
El crecimiento fetal está influenciado por una variedad de factores. La genética determina en gran medida el tamaño potencial del feto, pero otros factores como la nutrición, el estado de salud y el estilo de vida de la madre también son factores relevantes. Por ejemplo: la hipertensión o la diabetes gestacional pueden afectar el crecimiento fetal.
Diferencias de peso entre fetos masculinos y femeninos
Los fetos masculinos tienden a ser más grandes que los femeninos, y por eso hay dos tablas, una para cada sexo. Son pequeñas diferencias a tener en cuenta al interpretar los percentiles.
Importancia de la evaluación continua del crecimiento fetal
No es lo mismo que un bebé hay sido pequeñito siempre, que haya tenido una tendencia normal y de repente frene su crecimiento. Por eso, seguir la evolución es tan importante.
Curvas de crecimiento y su interpretación
Las curvas de crecimiento son herramientas que muestran el progreso del crecimiento fetal. Es decir, que no son datos aislados, sino que muestran en contexto la evolución del feto. Estas curvas permiten a los médicos y padres ver cómo está creciendo el feto.

Prevención de enfermedades y promoción de un estilo de vida saludable
El monitoreo del crecimiento fetal es importante para el desarrollo inmediato del bebé, pero un crecimiento fetal adecuado ayuda a prevenir enfermedades no transmisibles en la vida adulta. Los médicos pueden utilizar esta información para aconsejar a las madres sobre cómo optimizar su salud (y, por tanto, la de sus bebés) durante el embarazo.
Cómo calcular el percentil fetal
Los profesionales médicos que llevan el seguimiento del embarazo tienen las herramientas para calcular el percentil fetal, así que no es necesario contar con la formula ni preocuparse de este dato. Pero siempre está bien saber de dónde sale el dato final.
Uso de calculadoras de percentiles fetales
En resumen, el dato sale de unas calculadoras de percentiles fetales que permiten a los médicos calcular el percentil del feto basándose en las medidas obtenidas durante las ecografías. Son fórmulas estandarizadas que dan una estimación del percentil, lo que facilita el seguimiento del crecimiento fetal.
Consejos para interpretar los resultados correctamente
Los percentiles son solo una parte de la evaluación general del bienestar fetal y deben entenderse junto con otros factores, como la salud de la madre y el historial médico. Siempre hay que entender el dato en contexto y no como algo aislado. Confiar en los profesionales de la salud es lo mejor para entender lo que significan los resultados.