Puede haber un futuro más predecible para uno de los momentos más intensos de la maternidad: el parto. Cada parto es distinto, incluso para la misma mujer. Esa incertidumbre que acompaña el proceso del nacimiento es, a la vez, emocionante y desconcertante. Muchas madres se preguntan cuánto durará el parto, si será largo, agotador o más rápido de lo esperado, y un sinfín de cuestiones más que rondan su cabeza, distintas en función de si es la primera experiencia o no, y de cómo fue ese primer parto. Ahora, gracias a la inteligencia artificial (IA) y el trabajo de un equipo de investigación chino, se ha desarrollado un modelo de IA que puede reducir esta incertidumbre: es capaz de predecir con precisión la duración de la segunda fase del parto, la del expulsivo.
Publicada en la revista eClinicalMedicine, de la prestigiosa cabecera The Lancet, la investigación ha analizado más de 63.000 partos en hospitales de China y ha desarrollado un modelo basado en IA de aprendizaje automático (machine learning) extrapolable a otros contextos geográficos y sociales que es capaz de predecir cuánto durará la segunda fase del parto en cada mujer, con un alto grado de precisión. La segunda fase es la que comienza con la dilatación completa del cuello uterino y termina con el nacimiento del bebé: también es conocida como el expulsivo o período de pujar.
Este avance abre nuevas posibilidades para una atención médica más personalizada, menos intervencionista y con mayor capacidad de anticipación. Pero también tiene implicaciones psicológicas importantes: ayuda a reducir la ansiedad de muchas futuras madres que temen a un parto excesivamente largo o complicado.
Y lo más interesante de todo es que los datos del estudio que permiten hacer esta predicción mediante el uso de inteligencia artificial no requieren tecnología sofisticada ni pruebas invasivas. Se basan en información que ya se recopila durante el control prenatal y el trabajo de parto. Esto lo convierte en una herramienta potencialmente accesible para muchos centros médicos, incluso en contextos con menos recursos.

Cómo se ha desarrollado el modelo de IA
El estudio, titulado Artificial intelligence-based prediction of second stage duration in labor: a multicenter retrospective cohort analysis, fue realizado por investigadores de la Universidad Sun Yat-sen con la colaboración de tres hospitales en China. Analizaron datos clínicos de 63.401 mujeres que tuvieron un parto vaginal con un bebé a término, en posición cefálica, entre 2013 y 2022.
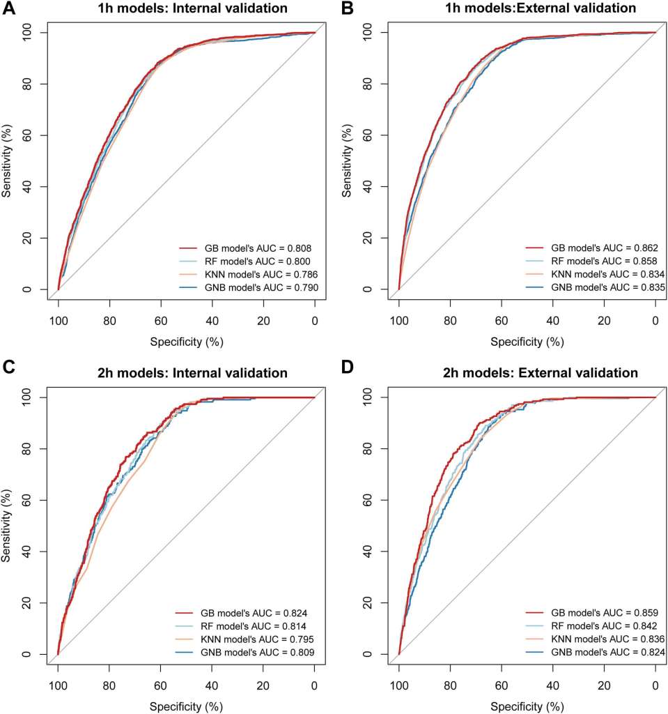
Utilizando historias clínicas electrónicas, el equipo aplicó un modelo de gradient boosting, una técnica avanzada de inteligencia artificial basada en árboles de decisión, para clasificar si el parto duraría más de una hora o más de dos. Esta segunda fase del parto, el expulsivo, es la más impredecible y una de las que más impacta tanto en el bienestar materno como en el neonatal.

Entre las variables clínicas que mejor predecían una segunda fase de parto prolongada, destacan las siguientes:
- Edad materna
- Duración de la primera fase del parto
- Uso de analgesia epidural
- Ruptura prematura de membranas
- Posición fetal no anterior (es decir, si el bebé no está colocado con la cabeza hacia abajo y mirando hacia la espalda de la madre)
- Parto inducido
- Si era el primer parto o no
- Semanas de gestación
Los resultados fueron contundentes: el modelo logró un índice de precisión (AUC) de hasta el 86% en la predicción de partos de más de una hora, lo que indica una alta fiabilidad. También fue validado con datos externos, lo que refuerza su solidez.
Puede ayudar a reducir la ansiedad de la madre de cara al parto
Uno de los aspectos más interesantes de esta investigación, como decíamos anteriormente, es que no se necesitan pruebas invasivas ni tecnologías complejas para alimentar el modelo: los datos provienen de la historia clínica estándar.
Esto facilita su aplicación en entornos clínicos sin grandes recursos y podría implementarse de forma rutinaria, aportando algo muy interesante: la reducción de la ansiedad en las mujeres que van a dar a luz, con lo que ello conlleva de cara precisamente al parto, ya que saber con antelación si es probable que el parto sea prolongado ayuda a prepararse mental y físicamente.
Facilita también la organización médica y familiar, incluso puede ser un dato más para la mujer de cara a elaborar su plan de parto. Y es también una herramienta con potencial para evitar intervenciones innecesarias durante el parto, si bien se necesita más investigación y desarrollo en contextos reales de este modelo de IA.

No cabe duda, pese a esta necesidad de desarrollo y testeo, que la inteligencia artificial puede ayudar con modelos como este en la toma de decisiones médicas. En concreto, al igual que ocurre ya con otros modelos de inteligencia artificial utilizados en pediatría, el modelo en cuestión puede complementar el juicio de obstetras y matronas, especialmente en partos complejos.
Es, por lo tanto, una muestra más del potencial que tiene la aplicación de la IA en el embarazo: recientemente nos hemos hecho eco de otro estudio que concluye que la IA el diagnóstico de anomalías fetales con ecografías más rápidas y precisas.
Referencias
- Xiaoqing Huang, Xiaodan Di, Suiwen Lin, Minrong Yao, Suijin Zheng, Shuyi Liu, Wayan Lau, Zhixin Ye, Zilian Wang, Bin Liu. Artificial intelligence-based prediction of second stage duration in labor: a multicenter retrospective cohort analysis. eClinicalMedicine, 2025. DOI: 10.1016/j.eclinm.2025.103072.